
- 关于公布湖南理工学院南湖学院2021年“专升本” 选拔考试成
- 2021.06.02
- 根据湖南省教育厅《2021年湖南省普通高等教育“专升本”考试招生工作实施方案的通知》(湘教发〔2021〕2号)文件精神和《湖南理工学院南湖学院2021年“专升本”工作实施方案》(院政发[2021]4号)的通知要求,考生成绩经学院2021年度“专升本”

- 关于湖南理工学院2021年“专升本”选拔考试考生成绩查询、复
- 2021.06.02

- 湖南工程学院2021年“专升本”考试成绩查询公告
- 2021.06.02
- 各位考生:根据湖南省教育厅《湖南省普通高等教育“专升本”工作实施办法》(湘教发〔2018〕1号)、《2021年湖南省普通高等教育“专升本”考试招生工作实施方案》(湘教发〔2021〕2号)文件精神和《湖南工程学院2021年“专升本”选拨工作实施方案》的

- 关于公布湖南信息学院2021年“专升本” 选拔考试考生成绩的
- 2021.06.02
- 根据湖南省教育厅《关于印发<2021年湖南省普通高等教育“专升本”考试招生工作实施方案>的通知》(湘教发[2021]2号)文件要求,现将我校2021年“专升本”选拔考试成绩进行公布,并将成绩复核有关事项公告如下:一、成绩查询考生成绩请查阅

- 关于湖南涉外经济学院2021年“专升本”选拔考试考生成绩查询
- 2021.06.02
- 各位考生: 根据湖南省教育厅《关于印发<2021年湖南省普通高等教育“专升本”考试招生工作实施方案>的通知》(湘教发[2021]2号)文件要求,现将我校2021年“专升本”选拔考试成绩进行公布,并将成绩复核有关事项公告如下:一、成绩

- 关于湖南工业大学2021年“专升本”拟录取结果公示
- 2021.06.02
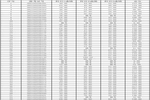
- 依据《2021 年湖南省普通高等教育“专升本”考试招生工作实施方案》(湘教发〔2021〕2 号)、《湖南工业大学关于做好2021年“专升本”考试招生工作的通知》,现将湖南工业大学2021年“专升本”拟录取结果予以公示。拟录取名单见附件。公示期为202

- 南华大学2021年“专升本”选拔考试拟录取名单公示
- 2021.06.02
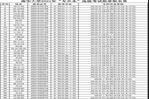
- 根据湖南省教育厅《关于印发<2021年湖南省普通高等教育“专升本”考试招生工作实施方案>的通知》(湘教发[2021]2号)文件要求,经学校“专升本”工作领导小组审核、省教育厅复审,现将我校2021年“专升本”选拔拟录取结果进行公示(详见附

- 邵阳学院关于2021年“专升本”考试收费等相关事项的通知
- 2021.05.25
- 各位考生: 欢迎报考邵阳学院!为进一步做好我校2021年专升本考试工作,现将有关事项通知如下: 1、考虑到目前还有部分考生未及时缴费,我校缴费时间延迟到2021年5月17日中午12点,请及时缴费。凡未在规定时间内缴费的,视为自动放弃考试,一切

- 黄冈师范学院2008年专升本招生简章
- 2021.05.21
- 根据鄂教高[2008]5号(附件1)文件精神,我校2008年继续面向湖北省内高职、高专院校(专业)选拔优秀普通专科应届毕业生升入我校相应本科专业三年级插班或者单独编班学习(以下简称专升本),现将我校2008年招收专升本工作规定如下:一、考生报考高考的

- 长江大学2008年普通专升本招生简章
- 2021.05.21
- 长江大学2008年普通专升本招生简章一、报名选拔对象:具有普通高校全日制专科学籍的应届毕业生,包括普通本科院校、独立学院、独立设置的高职高专院校、军事院校地方生以及成人高校举办的应届普通全日制高职高专毕业生。 报名条件:具有良好的思想品德和政治素质